采用霍尔效应传感技术的位置和液位传感器
作者: Allegro 微系统有限责任公司 Gary Pepka
摘要
由于支持技术的发展,霍尔效应 (磁场)传感应用进来已经进入实用阶段。本论文介绍了霍尔效应技术,之后探讨如何应用该技术,特别对霍尔传感器 IC 的主要类型以及它们所支持的高度分化传感行为进行了区分。此外,本论文还探讨了一些支持技术,如信号处理方面的进步,这些支持技术使得霍尔效应技术远比其早期阶段成熟。这使得具有极高可靠性的非接触式霍尔产品在更广泛的场合得到应用。
除了支持技术方面的改进,霍尔效应器件本身也取得了进展,从而为完整解决方案的设计作出了贡献。这些进展包括功率和空间的减少,以及集成诊断和保护功能,这些功能使霍尔传感器 IC 可提供先进的数据驱动功能——而在小型化便携式消费类电子产品、汽车和其他正在发展的行业,对先进数据驱动功能的需求日益增多。
介绍
利用为位置传感和液位传感提供的种类广泛的解决方案,设计人员可以选择最佳技术和方案包,以满足其商业和工程目标。在这些解决方案中,霍尔效应技术(凭借其非接触磁传感应用)提供了卓越价值和可靠性。本应用说明研究了霍尔效应技术的优势,以及这些设备的最新研究成果如何改进位置和液位传感结果。
霍尔效应技术的优势
几乎可以这样说:有多少种需要位置和液位传感的应用场合,就有多少种位置和液位传感方法。电感、电容、机械、磁-电阻、霍尔效应以及光学传感都是可行的传感方案,这个传感方案列表还可以扩大。设计人员始终面临需要解决的相同关键问题,而且这些问题有不可避免地对应着需要采用适当的传感技术。
关键的要求,如:成本、行程距离(有效工作气隙)、分辨率、精度,以及通常的重复次数成本,这些都需要确定,方可有效地选择合适的传感技术。当然,这些问题不可能都有直截了当的答案。不过,霍尔效应传感技术的灵活性最具优势。可靠性高、尺寸小、生产可行成本低、工作电压范围宽、提供各种输出选项并且易于实现,这使得霍尔效应传感技术可以为每个市场的大多数应用提供服务。
霍尔技术概述
首先简要介绍一下霍尔效应技术的工作原理。简单地说,霍尔效应发现于 1879 年,并以埃德温·霍尔爵士的名字命名,它是指流经电流的导体受到磁场的影响时,在导电材料(例如硅(矽)或砷化镓 (GaA))上可以测到电压(见图 1)。这个由磁场所产生的横向力被称为洛仑兹力。因此,霍尔效应器件需要磁场才能驱动。

图 1.在霍尔效应中,垂直于电流流动方向的磁通量会产生可测量的电压。
尽管如今已经非常普遍,但霍尔效应技术直至二十世纪八十年代才得到普遍应用。这是因为霍尔元件上的电压非常小,很容易受外界因素的影响,比如温度和封装应力。如图 2 所示,近期的霍尔器件除了采用片上偏移消除技术,还集成了最新的信号放大技术,这样,即使在极端环境条件下(如汽车发动机罩下的应用环境),也可以采用霍尔传感技术。此外,霍尔效应 IC 的“非接触”工作方式为用户提供几乎无限的执行和开关寿命。

图 2.现代霍尔效应传感器 IC 集成了信号调制和放大技术,使霍尔效应器件步入实用阶段。
霍尔器件选项
进一步研究需要为位置或液位传感应用而考虑的设备,霍尔效应 IC 为设计人员提供了大量功能和种类,其中包括数字和模拟输出。前者是对离散位置进行传感的最佳选择,而后者为用户提供了相对无限的位置,以获得更高的分辨率。需要离散位置或液位传感的一些应用实例:汽车换档器、安全带扣开关、座椅位置传感器、翻盖手机、无刷直流电机换向、刮水器储液器和气罐。霍尔效应技术可靠性高,因此在这些应用中,可以替代簧片开关和机械开关。
大多数的霍尔效应开关具有开漏极输出结构并且电阻较低,从而简化与大多数微处理器和其他数字电子设备(如阈值比较器、多路复用器、基本 TTL 门)之间的接口。典型的开-漏极输出是切换到“开启”,此时霍尔效应器件的输出电压会从高转到低。不仅如此,霍尔效应 IC 还有很多变体,可以为大量存在细微差别的位置和液位传感应用场合提供服务。这些变体包括各种功能,如微功耗、磁极独立传感、用户可编程选项、两线电流源输出设备、用于含铁目标传感的磁偏置以及倒置输出。本文无法一次性充分讨论这些内容,而是关注标准设备:它们的工作原理和应用场合。
标准霍尔效应器件特性
标准数字位置和液位传感器 IC 有三种常见变体:单极、闭锁和双极。利用单极开关,具有足够强度的磁场引发作动,使设备转为“开启”状态。通常 Bsouth(B 表示磁通量密度)必须高于设备的磁动作点 BOP,方可开启这些设备。一旦磁场强度低于设备的磁脱扣点 BRP 所需的保持磁场强度,则这些设备会返回到“关断”状态。
闭锁设备的开启方式与单极开关类似。但是,只有相反极性 Bnorth 的磁场强度足够大时,才能关断闭锁设备(非闩锁)。
双极开关类似于闭锁设备,因为它们同样使用相反磁场极性打开和关闭。但由于这些设备的灵敏度很高,因此无法确保可以作为闩锁使用。在某些情况下,双极开关可以有开关点 (BOP和 BRP),开关点使它们可以作为标准单极开关甚至负极开关 (仅在有足够的北磁极时开关)工作。
低分辨率应用
汽车换档器是使用离散位置传感很好实例。换挡器通常只有五个离散位置(停车、倒车、空档、驾驶和低速)。单极开关放在各个位置 (P、R、N、D 和 L),每个开关仅在换挡器中的磁铁快速直接移近开关时才会开启,如图 3 所示。

图 3.霍尔效应器件可以用作接近开关、与传感位置进行一对一匹配,或者使用多个设备对磁串扰进行分析,以提供额外的传感位置。
如果设计人员需要更多位置,可以减少设备之间的间距,以创建设备之间的“串扰”。采用这种方式,在磁铁与两个设备足够接近使两个设备均开启时,可以获得额外的位置,从而增加了位置的数量,比如从五个增加到九个。简单的二进制编码十进制 (BCD) 系统或更先进的系统,如格雷码或密集压缩十进制 (DPD),可用于对逻辑解码并获取位置信息。
通过内部带有磁铁的浮选设备,可使用这种策略来感应罐中的液位,如图 4 所示。由于磁铁随着流体中的液位的变化上下浮动,通过了解哪个 IC 处于开启状态即可判断各个液位。

图 4.贮液池中的液位传感应用;球形浮子,内有按钮磁铁在流体表面漂浮,而霍尔效应器件和接线在一个单独的舱室中完全隔离。
高分辨率应用
从档位选择器示例中可以很快看出,在仅需要几个位置时,采用离散位置传感或液位传感是理想选择。如果应用需要更高的分辨率,由于成本高昂以及空间限制的原因,这种为每个位置添加一个设备的方法不可行。
带有模拟输出的线性霍尔效应器件。与数字开关类似,线性设备中也可以提供丰富的功能;例如比例式输出、用户可编程、数字输出(如脉宽调制)以及单向或双向传感。与前面对离散位置或液位设备的描述类似,本讨论只集中于标准线性霍尔效应传感器 IC:它们的工作原理和应用。
大多数标准线性霍尔效应传感器 IC 具有与磁场强度呈比例关系的比率式输出 (0.5 × VDD)。这些设备通常需要调节式 5.0 V 电源,且当不存在大磁场强度时 QVO(静态电压输出,VOUT(Q)) 为 2.5 V (参见图 5)。感应到磁铁南极的磁场强度增加时,输出电压增加,接近 5.0 V。相反,在感应到磁铁北极的磁场强度增加时,输出电压会减少,接近 0 V。

图 5.线性霍尔效应器件在整个传感磁通范围内响应,并输出比例模拟信号。
线性设备应用有两个常用配置,这两个配置奠定了大多数设计的基础。这两个配置称为侧滑配置和迎面配置。
侧滑配置
在标准侧滑应用场合中,磁铁在封装的表面移动,使得霍尔效应器件感知一个或两个磁极,如图 6 所示。有三个有效位置的输出电压可能为零:(a) 在磁铁足够接近,使设备感应到磁场之前 (b) 一旦两极之间的零点交叉 (B = 0) 与霍尔效应器件直接毗邻,以及 (c) 一旦磁铁移动经过设备的距离足够远,设备已经无法检测到足够的磁场强度。实际上,在磁场的北极经过封装表面时,输出电压从 2.5V 转为 0 V (假设 VDD是 5 V),在磁场南极经过封装表面时,输出电压从 2.5V 转到 5.0 V。这就是通常所说的双向传感。

图 6.侧滑应用配置和响应曲线,其中显示了用于磁北极和磁南极峰端的各个节点。
当然也可以感知整个设备上一个极的变化,但这会限制可用量程范围。这被称为单向传感,对于标准线性设备,此时输出中的变化仅限于 2.5 V。要获得完整的工作范围,则必须使用配有此功能的用户可编程线性设备。之后,随着表面上磁场变化,霍尔效应 IC 产生的电压输出变化可用于确定移动磁铁的相对位置。然后,可以使用标准微处理器上的模数转换器和一个简单的查询表来获得实际位置。在这种情况下,分辨率(可以检测到的位置数量)取决于模数转换器的分辨能力,而模拟信号提供的位置数量是相对无限的。
阀门位置是使用侧滑传感的一个应用实例,如图 7 所示。在此应用中,磁铁通常是在霍尔效应封装元件前方(滑过表面)旋转的两极环形磁铁。当极性相反的磁场经过元件前面时,输出电压与磁场强度变化成正比。通过精确传感,可以控制阀门的位置,从而更准确地指示通过载体的物质流量。

图 7.阀门位置传感是滑动霍尔 IC 配置的成熟应用。
迎面配置
迎面位置传感非常类似于侧滑配置的单向传感。本质上讲,线性霍尔 IC 只区分一个磁极(南极或者北极)的磁场强度变化。检测模式很简单。随着磁铁接近设备,IC 检测到的磁场强度增加,随着磁铁远离,IC 检测到的磁场强度减小,如图 8 所示。

图 8.迎面应用配置和响应曲线显示了单调特性,而与极点方向无关。
跑步机跑板高度检测是迎面传感技术的良好例证。如果调整跑板高度,为跑步者改变坡度,可使用线性霍尔 IC 检测跑板的位移。通常磁铁连接到跑板本身,而传感器组件保持静止状态。随着跑步者增大或减小跑板的坡度,传感器 IC 通过霍尔元件测得的磁场强度变化,向控制模块提供关于相对位移的反馈。
确定磁场规范
与任何技术一样,在设计使用霍尔效应传感器 IC 的应用时有一些特别注意事项。精心挑选磁铁尤为重要,包括磁铁的形状和位置,如图 9 所示。磁场强度随距离增大呈指数下降。此外,还要考虑磁铁的温度系数。

图 9.这个模型描述了按钮磁铁的磁场强度变化(类似于图 10 中使用的按钮磁铁)。箭头表示磁通线。磁通线距离磁铁越近,则磁场强度越大。
因此对于离散位置传感应用场合,良好的做法始终应该是:确定封装表面到磁铁(位于要求的开关位置)之间的有效气隙,然后确定在该距离下额定温度范围内的最大和最小磁场强度。之后应将此值与每个替代设备的最大额定操作开关点进行比较。
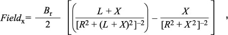
在图 10 中提供了通过有效气息来估算磁场退化的图表和公式。此变化可以使用下面的公式计算:

其中:
- Br = 材料的残余磁电感,单位为 G,
- L = 磁铁长度,单位为毫米,
- X = 磁铁表面与设备之间的距离,单位为毫米,以及
- R = 磁铁的半径,单位为毫米。
图表反映了一个按钮磁铁的典型结果,此结果与图 9 中使用的按钮磁铁类似, 按钮磁铁采用钕铁制造,额定值为 30 MOe ( 1 Oe = 100 微特斯拉;T),半径为 2 毫米,厚度为 1 毫米。
设计师的经验原则是确保在设备要开关的必需位置,磁场强度至少比额定开关点要求的最大磁场强度高 10%。例如,如果要求 B OP(最大)为 50 G 的单极开关在一定距离开启,则在所有条件下,该距离处的磁场强度不得小于 55 G。
设计线性应用
与只需要一定磁场强度和极性来驱动的数字霍尔效应开关不同,线性设备需要稍多应用规范才能实现满意的结果。线性 IC 的增益决定了给定距离下的分辨率。因此无论是侧滑式还是迎面式应用,用户都必须选择适当的增益。
为了实现这一点,必须建立两个已知的端点和所需的分辨率(数据点的数量)。下面是确定适当增益的简单实例。
假设应用程序的要求如图 11 所示,则可用线性量程将为 3 V。磁铁经过设备时,测量值范围为 200 G(高斯;10 G = 1 毫特斯拉, mT)。用输出电压 VOUT 的变化除以施加磁场强度 (Bapplied) 的变化,得到此应用的线性霍尔效应器件的相应增益。
为清晰起见,下面提供了本实例的方程和结果。通用计算方程如下:
要使用示例数据,首先将 VOUT 的单位从 V 转为 mV。
然后:
VOUT= V–VOUT1
= 4000 mV – 1000 mV
= 3000 mV (完全线性范围),
和
Bapplied(G) = Bmax – Bmin
= 100 G – (–100 G) = 200 G。
注:采用的代数约定是: B 取正值表示南极,B 取负值代表北极。
将这些代入通用方程:
增益 (mV/G) = 3000 mV / 200 G
= 15 mV/G。
当然,在现实世界中,传递函数并不是完美的线性关系,系统中可能存在一个固有的偏移量。为此,必须进一步考虑应用场合要求的精度、模数转换器或者必须读取输出的类似设备的分辨率,以及磁铁的温度系数。
在这些情况下,考虑以下因素会有所帮助:
- 静态输出电压的变化是温度、VOUT(Q)(TA)的函数
- 灵敏度(增益)的变化是温度、Vsens(Q)(TA) 的函数,以及
- 给定磁场强度范围内设备的线性度。
可利用磁场对线性霍尔效应 IC 进行反向偏压,以感知亚铁材料目标。例如,在汽车行业广泛使用基于霍尔 IC 的传感器可精确感应凸轮凸部的位置和发动机中的曲轴的速度,以改进调速,从而获得更高的燃烧效率。许多霍尔效应线性设备具有很高的带宽,因此可以感知混合动力汽车的电池管理系统和直流-直流转换器中的电流变化。
总结
很明显,这些是可以采用霍尔效应传感器的应用的简化实例,对这项技术的功能和特性的描述非常简略。重要的霍尔技术选项的其他重要实例包括:
- 两线设备的电流源输出是安全关键应用程序(如座位位置和安全带扣传感器)的理想选择。这是因为这些设备输出两个截然不同的电流级别,以指示开启和关闭状态。任何偏离这些级别的输出均属故障条件,使用户具备具有固有诊断能力。
- 极低的电流消耗 (<5 W) 使霍尔效应 IC 可以在断开和闭合电路传感器中使用。在对功耗敏感的电池操作应用场合中,这一点特别有价值,例如:翻盖手机、笔记本电脑和寻呼机。
- 多种封装选项进一步增强了这些传感器 IC 的灵活性。一些微含铅的封装 (MLP,也被称为无铅 DFN 或 QFN 封装)的尺寸仅为 2.0 × 2.0 × 0.5 毫米,而有些封装则大到足以包含可对 IC 进行反向偏压的钐钴磁体。
正是采用霍尔效应技术的众多应用不断扩展此类设备。因此,霍尔效应技术不断发展。尺寸的不断缩小和功能的持续增强使霍尔技术几乎可以成为所有位置或液位传感应用场合的可行解决方案。
